Рекомендуем Вам зарегистрироваться, чтобы получить полный доступ к форуму. После регистрации Вам будет разрешено создавать топики, писать сообщения, загружать и просматривать фотографии, оценивать посты других форумчан, управлять собственным профилем на форуме и многое другое. Личные сообщения доступны после 50 оставленных на форуме сообщений . Полный доступ к разделу "Химия" так же доступен после 50 сообщений. Если у Вас уже есть аккаунт, войдите здесь, либо зарегистрируйтесь!

Обзор и обсуждение научных статей
#543
Отправлено 21 августа 2015 - 08:21

#546
Отправлено 21 августа 2015 - 06:41

а они не уточняют какой части мышц -воды гликогена или миофибрилл?3 недели отдыха от тренировок привели к потере 0.7кг мышц
http://www.ncbi.nlm....pubmed/10099946
#550
Отправлено 24 августа 2015 - 07:53

Вообще к измерению ПМ в научной среде относятся скептически. Золотым стандартом является измерение КРИВОЙ мах произвольного напряжения при различных углах для того чтобы определить амплитуду напряжения мышцы
Чота нихуа не понял.. Как они эту кривую измеряют?
#552
Отправлено 25 августа 2015 - 09:24

Blood flow-restricted strength training displays high functional and biological efficacy in women: a within-subject comparison with high-load strength training
Abstract
Limited data exist on the efficacy of low-load blood flow-restricted strength training (BFR), as compared directly to heavy-load strength training (HST).
Here, we show that twelve weeks of twice-a-week unilateral BFR (30% of 1RM to exhaustion) and HST (6-10RM) of knee extensors provide similar increases in 1RM knee extension and cross sectional area of distal parts of m. quadriceps femoris in nine untrained women (age 22±1 years).
The two protocols resulted in similar acute increases in serum levels of human growth hormone. On the cellular level, twelve weeks of BFR and HST resulted in similar shifts in muscle fiber composition in m. vastus lateralis, evident as increased MyHC2A proportions and decreased MyHC2X proportions.
It also resulted in similar changes of the expression of 29 genes involved in skeletal muscle function, measured both in a rested-state following twelve weeks of training and subsequent to singular training sessions.
Training had no effect on myonuclei proportions.
Of particular interest;
i) gross adaptations to BFR and HST were greater in individuals with higher proportions of type 2 fibers,
ii) both BFR and HST resulted in ~4-fold increases in the expression of the novel exercise-responsive gene Syndecan-4, and
iii) BFR provided lesser hypertrophy than HST in the proximal half of m. quadriceps femoris and also in CSApeak, potentially being a consequent of pressure from the tourniquet utilized to achieve blood flow restriction.
In conclusion, BFR and HST of knee extensors resulted in similar adaptations in functional, physiological and cell biological parameters in untrained women.
Сообщение изменено: ctjan (25 августа 2015 - 09:25)
#555
Отправлено 26 августа 2015 - 11:54

и нет данных по объему нагрузки в разных группах
да согласен,
но в КААТСУ тренинге интересен вопрос, каков механизм дополнительного рекрутинга БМВ, если нам известно, что обычный протокол с таким же весом даже выполненный до отказа вызывает меньшую активацию, чем обычный протокол 70-80% от ПМ.
Обратите внимания на то, что сдвиг в сторону 2А был не статич значим между группами, и по генам тоже не было разницы!
И интересный момент, тренинг не привел к сдвигу в пропорции ядер, при выраженном увеличении ППС хотя протокол HST приводит к этим изменениям
#557
Отправлено 27 августа 2015 - 12:55

обычный протокол с таким же весом даже выполненный до отказа вызывает меньшую активацию, чем обычный протокол 70-80% от ПМ.
подробней, что ты имеешь в виду и на какие данные опираешься. Т.е. например, 30% до отказа вызывает меньшую синхронную активацию, чем каатсу с аналогичным весом или 80%? Дело может быть (если факт имеет место быть) во временном течении подхода: часть мусора может успевать выводиться из мышцы. Вопрос может отчасти прояснить сравнение продолжительности подхода 30% с и без каатсу. Но нафиг это нужно? Важен эффект, т.е. гипертрофия, и, м.б. в каком она пуле.
сдвиг в сторону 2А был не статич значим между группами, и по генам тоже не было разницы!
другими словами, гипертрофия - она и в Африке гипертрофия. Без разницы, каким методом она достигается, она манифестируется одинаково.
ренинг не привел к сдвигу в пропорции ядер, при выраженном увеличении ППС хотя протокол HST приводит к этим изменениям
т.е. это вопрос о донации клеток-сателлитов? Может иметь последствия, но вопрос в достаточни продолжительности исследования.
#558
Отправлено 27 августа 2015 - 03:28

в компаундных движениях а они делали изоляцию
в изоляции будет тоже самое
Т.е. например, 30% до отказа вызывает меньшую синхронную активацию, чем каатсу с аналогичным весом или 80%?
абсолютно верно
Но нафиг это нужно? Важен эффект, т.е. гипертрофия, и, м.б. в каком она пуле.
а разная активация как раз косвенно может показать, в каком типе МВ произошла гипертрофия. Понятно, что проще взять биопсию и провести гистологический анализ. Но не все видно могут использовать данный анализ.
другими словами, гипертрофия - она и в Африке гипертрофия. Без разницы, каким методом она достигается, она манифестируется одинаково
а здесь надо разобраться по подробнее, мы же не знаем, что произошло в самой клетке, поэтому так важна фиксация приращения ядер, если как говориться они приросли то уже никуда не денутся.
С обычным протоколом вопрос понятен, но там есть травматика, которая служит сигналом к активации клеток сателлитов. А в КААТСУ нет травматики, что там с ядрами происходит пока для меня не понятно.
По сути вопрос заключается в том, что одинаков ли процесс адаптации в конченом счете при травматики и не травматики - прирост сократительного аппарата. Ответ на вопрос кардинально поменяет стратегию тренинга.
ниже размещу исследование по поводу активации с разной интенсивностью
Сообщение изменено: ctjan (27 августа 2015 - 03:30)
#559
Отправлено 27 августа 2015 - 04:50

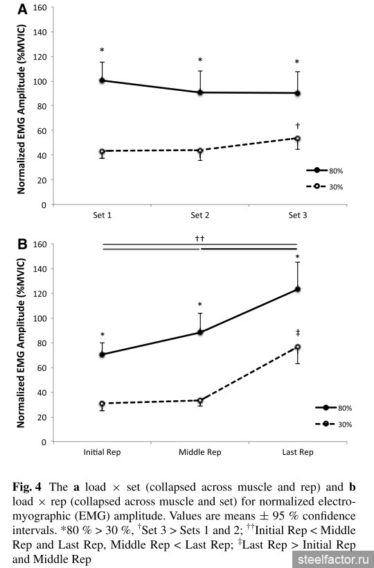
Muscle activation during three sets to failure at 80 vs. 30 % 1RM resistance exercise.
PURPOSE:
The purpose of this study was to investigate electromyographic amplitude (EMG AMP), EMG mean power frequency (MPF), exercise volume (VOL), total work and muscle activation (iEMG), and time under concentric load (TUCL) during, and muscle cross-sectional area (mCSA) before and after 3 sets to failure at 80 vs. 30 % 1RM resistance exercise.
METHODS:
Nine men (mean ± SD, age 21.0 ± 2.4 years, resistance training week-1 6.0 ± 3.7 h) and 9 women (age 22.8 ± 3.8 years, resistance training week-1 3.4 ± 3.5 h) completed 1RM testing, followed by 2 experimental sessions during which they completed 3 sets to failure of leg extension exercise at 80 or 30 % 1RM. EMG signals were collected to quantify EMG AMP and MPF during the initial, middle, and last repetition of each set. Ultrasound was used to assess mCSA pre- and post-exercise, and VOL, total work, iEMG, and TUCL were calculated.
RESULTS:
EMG AMP remained greater at 80 % than 30 % 1RM across all reps and sets, despite increasing 74 and 147 % across reps at 80 and 30 % 1RM, respectively. EMG MPF decreased across reps at 80 and 30 % 1RM, but decreased more and was lower for the last reps at 30 than 80 % 1RM (71.6 vs. 78.1 % MVIC). mCSA increased more from pre- to post-exercise for 30 % (20.2-24.1 cm2) than 80 % 1RM (20.3-22.8 cm2). VOL, total work, iEMG and TUCL were greater for 30 % than 80 % 1RM.
CONCLUSION:
Muscle activation was greater at 80 % 1RM. However, differences in volume, metabolic byproduct accumulation, and muscle swelling may help explain the unexpected adaptations in hypertrophy vs. strength observed in previous studies.
Прикрепленные файлы
Сообщение изменено: ctjan (27 августа 2015 - 04:54)
#561
Отправлено 28 августа 2015 - 07:59

Is isokinetic eccentric exercise dangerous for the heart?
Le Goff, C. | Kaux, J.-F. | Laurent, T. | Vannuscorps, J. | Pincemail, J. | Chapelle, J.-P. | Cavalier, E. | Croisier, J.-L.
BACKGROUND:
Very strenuous exercises can be performed on an isokinetic dynamometer in order to evaluate the resistance to fatigue of different muscular groups. Good cardiac function is necessary in order to perform these very intensive exercises; otherwise an acute myocardial dysfunction could theoretically appear in predisposed patients.
OBJECTIVE:
Our study aimed to observe the cardiovascular impact of a maximal intense isokinetic eccentric exercise performed by a population of sedentary young men.
METHODS:
Resting and post-exercise (just after, 3 hours and 24 hours after the exercise) blood samples were taken from 12 young male sedentary healthy subjects. These subjects performed an intense maximal eccentric isokinetic exercise of the quadriceps muscle. We evaluated markers of cardiovascular risk (troponin I, highly sensitive troponin T, NT-proBNP, myoglobin), of inflammation (hsCRP) and of oxidative stress (myeloperoxydase, lipidic peroxides, reduced and oxidised glutathione).
RESULTS: The following observations were made: no significant increase in cardiac (NT-proBNP, troponins) or inflammation (hsCRP) biomarkers; a significant increase in myoglobin, myeloperoxidase, lipidic peroxides, oxidised glutathione just after the exercise.
CONCLUSIONS: No modification in cardiac biomarkers were observed after the maximal eccentric isokinetic exercise. We were thus able to prove that the exercise could be performed without any risk to cardiac function in young sedentary subjects. However, a significant level of oxidative stress was induced by this exercise
___________________________________________________
3 сета по 30 мах эксцентрический повторов на изокинетическом динамометре, с отдыхом 30 сек, привело к окислительному стрессу, но не повлияло на стрессовые маркеры сердца
ранее я писал мое субъективное ощущение по поводу нагрузки на сердце негативов, более негативные последствия происходят от мах концентрических подъемов чем от серии тяжелых негативов.
Прикрепленные файлы
Сообщение изменено: ctjan (28 августа 2015 - 07:59)
#562
Отправлено 30 августа 2015 - 06:51

Лед тронулся господа присяжные заседатели!
Сегодня в зале встретил старого знакомого, которого давным давно не видел. Очень хороший и порядочный человек. Ходит в тренажерный зал уже около двух лет, но тренируется для поддержания тонуса. Ему программу расписал какой местный тренер. Захотелось по человечески помочь человеку чтоб поднобрал немного мясца)) Ему не грех раскрыть все секреты Сtjana!!!
Пришло время проверить методику Ctjana и на других людях! Надеюсь жизненные обстоятельства позволят провести все до конца
Человек уже не молод и не готов себя ограничивать в питании или посидеть за пивком. Поэтому никаких анорексий, только набор мяса вместе с жиром! Ибо вдругое я не верю в натуральном тренинге! Без фармы не до, не после.
Прямую нагрузки на руки не делаем, кроме плеч!
Пишите комменты что вы хотите видеть в измерениях прогресса.
Сообщение изменено: ctjan (30 августа 2015 - 06:56)
#564
Отправлено 31 августа 2015 - 10:00

Хреновый подходЛед тронулся господа присяжные заседатели!
Сегодня в зале встретил старого знакомого, которого давным давно не видел. Очень хороший и порядочный человек. Ходит в тренажерный зал уже около двух лет, но тренируется для поддержания тонуса. Ему программу расписал какой местный тренер. Захотелось по человечески помочь человеку чтоб поднобрал немного мясца)) Ему не грех раскрыть все секреты Сtjana!!!
Пришло время проверить методику Ctjana и на других людях! Надеюсь жизненные обстоятельства позволят провести все до конца
Человек уже не молод и не готов себя ограничивать в питании или посидеть за пивком. Поэтому никаких анорексий, только набор мяса вместе с жиром! Ибо вдругое я не верю в натуральном тренинге! Без фармы не до, не после.
Прямую нагрузки на руки не делаем, кроме плеч!
Пишите комменты что вы хотите видеть в измерениях прогресса.
#567
Отправлено 31 августа 2015 - 12:51

Делай фотографии,без фоток не утруждай себя отчетами-)
это сделаем, планируем в среду - сделать начальные фото и замеры
ПС. Дядьку не угробь,негативами своими))
все будет нормально, главное чтобы все сложилось по жизни
стжан,хотелось бы увидеть зависимость доза ас -сантиметр бицепса
анаболикам нет!)
#568
Отправлено 31 августа 2015 - 01:10

Вангую что Человек за 50 имеет нулевую функциональность, + гормоны не на уровне.
Жрать на массу вочто бы то не стало приведёт к росту гавномассы.
Работать надо на повышение работоспособности, уменьшение жировой, гибкость и развитие сердечка.
#570
Отправлено 31 августа 2015 - 03:59

Если человек на молод - работать на массу без ограничения по еде это безумие. Вангую что Человек за 50 имеет нулевую функциональность, + гормоны не на уровне. Жрать на массу вочто бы то не стало приведёт к росту гавномассы. Работать надо на повышение работоспособности, уменьшение жировой, гибкость и развитие сердечка.
Я не знаю точно, но ему примерно 45, плюс выглядит подтянутым и уже два года занимается в зале. Не все так плачевно.
0 посетителей читают эту тему
0 пользователей, 0 гостей, 0 скрытых