. Болевые ощущения ближе к сгибу локтя по мышце.
Прикрепленные файлы
Сообщение изменено: Psi (13 сентября 2025 - 08:43)
При пальпации (а также при подтягивании, пшнб, повороте кисти) возникают четкие болевые ощущения именно в этой мышце. На рисунке выделено красным.
Очень расплывчато и молоинформативно... Надо подумать, к вечеру думаю что в голове что то сложится. Очень тяжело давать какие либо советы заочно, всегда лучше руками пощупать, повращать, поймать точки возникновения боли.
Но в силу моей природной лени прошу напомнить мне...(((
К сожалению, в очередной раз приходится писать о самых простых вещах, ибо нынешняя фитнес-индустрия по-прежнему в них очень слаба.
Пойдите в любой тренажёрный зал и пока будете делать кардио, внимательно посмотрите, кто и как тренирует ноги. Если это будет что-то из действительно тяжёлых упражнений (например, приседания, выпады, подъёмы на тумбу), то многие клиенты фитнес-клубов, как правило, предпочитают отдыхать между подходами сидя на скамье. Тем самым они совершают грубейшую ошибку.
Если кому довелось посещать уроки физкультуры в школе ещё в прошлом веке, тот точно помнит, что учителя категорически запрещали "отдыхать" таким образом после любого зачёта по бегу. А всё потому, что они получали образование в то время, когда от них требовали знаний, а не денег.
Теперь давайте подробнее о том, почему нужно не сидеть между подходами, а ходить до восстановления дыхания. Значит, смотрите - во время тяжёлого упражнения для мышц ног либо бега сердце обильно снабжает нижние конечности кровью. Согласно спортивной физиологии особенностью нашей системы кровообращения является то, что нагнать кровь в ноги по артериям гораздо проще, чем обеспечить венозный возврат крови к сердцу.
Этот механизм выглядит так: кровь накачивается в мышцы ног сердечным насосом и сокращениями стенок артерий, плюс этому способствует сила тяжести, а возвращается кровь наверх во многом благодаря сокращению икроножных мышц во время ходьбы и присасывающей функции грудной клетки во время выдоха, когда в ней понижается давление. При ходьбе мышцы ног сдавливают вены и проталкивают кровь наверх, а клапанный аппарат вен блокирует ток крови вниз. Вот почему после тяжёлого подхода нужно ходить и глубоко дышать.
Если после подхода резко сесть, то приток крови к ногам останется высоким, а отток заметно снизится, поскольку вены в ногах окажутся частично пережатыми. Это может привести к коллапсу системы кровообращения и падению артериального давления, что, в свою очередь, может вызвать головокружение, потемнение в глазах вплоть до потери сознания и даже рвоту. Но это вероятный сиюминутный и краткосрочный эффект. А тем, кто часто практикует подобные "посиделки" между подходами, я хочу напомнить, что если у вас есть склонность к варикозному расширению вен, то таким вариантом "отдыха" вы однозначно ускоряете его появление.
P. S.: Ещё одним весомым аргументом в пользу ходьбы между подходами можно назвать усиленное окисление продуктов энергетического обмена в мышцах. Метаболиты во время ходьбы лучше выводятся кровотоком из предварительно нагруженных мышц, и таким образом вы быстрее восстанавливаетесь к следующему подходу, а ваша работоспособность в целом не сильно снижается.
7 сигналов от суставов, которые нельзя игнорировать
Научно обоснованная версия
Наши суставы — это не просто механика. Это сложная биологическая система, в которой участвуют иммунитет, метаболизм, гормоны, сосуды и даже микробиота.
И первые сигналы нарушения часто проявляются не болью, а тонкими симптомами, которые принято игнорировать.
Разберём их с позиции современной ревматологии и системной биологии 
⸻
1. Утренняя скованность
Медицинское значение:
Скованность по утрам — важный дифференциально-диагностический симптом.
• Менее 30 минут → чаще при остеоартрозе (дегенеративный процесс).
• Более 30–60 минут → типично для воспалительных артритов (например, ревматоидного, спондилоартритов).
Важно: это связано с ночной активацией провоспалительных цитокинов (например, IL-6), снижением кортизола и перераспределением синовиальной жидкости в покое.
⸻
2. Крепитация (хруст)
Физиологически:
Кавитация (высвобождение пузырьков газа в синовиальной жидкости) — нормальное явление.
Но если хруст становится регулярным, грубым или сопровождается ощущением «щелчка» и нарушением функции — это может быть маркером начальной хондропатии.
Остеофиты, истончение хряща, нарушения суставной поверхности — всё это может проявляться до появления боли.
⸻
3. Периодическая припухлость/отёк
Корректный термин — синовит
Временное увеличение сустава в объёме может быть результатом:
– локального воспаления (повышение проницаемости синовиальной оболочки, выход экссудата),
– иммунных реакций (в том числе при кристаллическом артрите — подагре или псевдоподагре).
Термин «токсины» некорректен. Следует говорить о метаболитах и кристаллах (мочевая кислота, пирофосфат кальция и др.).
⸻
4. Метеозависимость
Данные исследований:
Некоторые рандомизированные наблюдения (включая исследования из Tufts University, 2014) показывают, что колебания атмосферного давления могут коррелировать с субъективной болью у пациентов с остеоартритом.
Объяснение: снижение внешнего давления может усиливать внутрисуставное давление, влияя на чувствительные окончания в синовиальной капсуле.
Однако это не “магнитные бури” — это физико-механическое взаимодействие тканей снаружи и внутри.
⸻
5. Быстрая утомляемость суставов
Важно: сустав сам по себе не “устает”, так как не содержит сократительных волокон.
Вероятные причины:
– мышечная слабость и несостоятельность стабилизаторов,
– нарушения биомеханики и оси нагрузки,
– субклинический воспалительный процесс,
– дефицит восстановления тканей (при дефиците белка, витамина D, Омега-3 — но это ассоциативно, не каузально!).
Дефицит коллагена, магния, омега-3 не вызывает утомляемость суставов напрямую, но может способствовать снижению адаптационных возможностей тканей.
⸻
6. Боль в покое, особенно ночью
Ключевой симптом воспаления.
При ревматоидном артрите, анкилозирующем спондилите и других воспалительных заболеваниях суставов боль усиливается в покое, особенно ночью.
Это связано с циркадным спадом противовоспалительного кортизола и активацией провоспалительных цитокинов (IL-1, TNF-α, IL-6).
Упоминание гормональных дисбалансов и кишечной проницаемости требует осторожности. Да, существует связь между микробиотой и артритами (например, при спондилоартритах), но она ещё исследуется и не может интерпретироваться как прямая причина боли.
⸻
7. Щелчки при движении
Наиболее вероятные причины:
– соскальзывание сухожилия (например, подвздошно-большеберцового тракта при сгибании бедра),
– нестабильность из-за слабости мышц и связок,
– анатомические особенности.
Сам по себе щелчок — не диагноз. Но если он сочетается с болью, ограничением подвижности или отёками — это требует диагностики.
⸻
Общий вывод
Суставы — это не только кости и хрящ.
Это иммуно-метаболический орган, отражающий общее состояние:
– иммунной регуляции,
– воспалительных процессов,
– гормонального фона,
– состояния тканей (белковый обмен, микроциркуляция, антиоксидантная защита),
– и даже работы кишечника.
⸻
Какие из этих сигналов вы замечаете у себя?
Напишите в комментариях — а в следующей публикации разберём, что действительно влияет на здоровье суставов: питание, нутриенты, биомеханика и привычки.
Сохраняйте этот пост, чтобы не терять научную основу в потоке инфо-шума.
Суставы — это не возраст. Это зеркало твоего образа жизни.
В 70 — бегают марафоны.
А в 40 — больно встать с дивана?
⠀
Нет, дело не только в “износе”.
Современная наука говорит:
здоровье суставов — это результат сложного взаимодействия воспаления, метаболизма, питания и физической нагрузки.
⸻
Сустав — это не просто шарнир. Это живая ткань.
Он реагирует на всё:
– на хроническое воспаление (IL-1β, TNF-α),
– на окислительный стресс,
– на нарушения обмена веществ,
– на изменение микробиоты кишечника,
– на перегрузку печени и почек,
– на дефицит белка, магния, витамина D.
А при инсулинорезистентности усиливается воспаление и накапливается мочевая кислота, что создаёт дополнительную нагрузку на суставы.
⸻
Боль — это не всегда “конец хряща”
Иногда это локальная травма или перегрузка.
Но часто — это манифестация системного дисбаланса, который начинается задолго до того, как сустав «заболит».
Особенно если есть:
– проблемы с пищеварением,
– усталость,
– хронический стресс,
– лишний вес.
⸻
Что с этим делать?
Вместо того чтобы просто «подавлять боль» — важно посмотреть вглубь:
Улучшить питание клеток,
Укрепить микробиоту,
Снизить хроническое воспаление,
Поддержать детоксикационные пути (печень, почки),
Подобрать адекватную физическую активность,
Восстановить гормональный и антиоксидантный баланс.
Это не “перезапуск” в бытовом смысле, а системная стратегия поддержки на уровне метаболизма и регуляции.
⸻
Может ли хрящ восстанавливаться?
Частично — да, в некоторых условиях, особенно на ранних стадиях.
Но на продвинутых этапах необходим комплексный подход, включая поддержку тканей, снижение нагрузки, физиотерапию, возможно — медикаменты или инъекционные методы.
И чем раньше начата профилактика — тем выше шанс сохранить подвижность.
Может ли кофе реально снижать риск развития рака?
Десятилетиями не было однозначного ответа.
Сегодня — есть.
И он удивит даже самых скептичных.
⸻
Что говорит наука?
Метаанализы и официальные рекомендации:
• WCRF/AICR (World Cancer Research Fund / American Institute for Cancer Research) после систематического обзора сотен исследований официально заявили:
«Есть убедительные доказательства, что кофе снижает риск рака печени и рака эндометрия»
(WCRF/AICR, 2018, Continuous Update Project)
• [Gunter et al., 2017, BMJ] — более 2 млн человек: каждая дополнительная чашка кофе в день снижает риск рака печени на 20%.
• [Lopez-Garcia et al., 2010, J. of Nutrition] — меньше риск колоректального рака у женщин, особенно при кофе без сахара и сливок.
• [Michels et al., 2013, European J. of Cancer Prevention] — снижение риска рака простаты и рака ротовой полости.
⸻
Почему кофе работает как онкопротектор?
Кофе — это не просто кофеин. Это сложная смесь из 1000+ биоактивных молекул: фенольные кислоты, дитерпены, меланоидины, алкалоиды, ароматические соединения.
⸻
1. Антиоксидантное и антиканцерогенное действие
• Хлорогеновая кислота (CGA) — мощнейший натуральный антиоксидант:
• подавляет перекисное окисление липидов,
• защищает ДНК от мутаций,
• ингибирует воспалительные пути (NF-κB, IL-6).
• N-метилпиридиний (при обжарке) → активирует путь Nrf2 → экспрессия генов антиоксидантной защиты (SOD, HO-1, GSH).
⸻
2. Модуляция ферментов детоксикации
• Кафестол и кавеол (особенно в нефильтрованном кофе):
• активируют фазы II детоксикации печени (GST, NQO1),
• подавляют канцерогенез в модели HCC (рак печени) у животных.
⸻
3. Противовоспалительный эффект
• Снижение СРБ, IL-6, TNF-α — ключевых маркеров хронического воспаления.
• А хроническое воспаление — один из универсальных механизмов рака.
⸻
4. Регуляция метаболизма эстрогенов
• Снижение активности ароматазы → оптимальное соотношение эстрогенов → меньше риск гормонозависимых опухолей (эндометрий, грудь).
⸻
5. Нейропротекция и метаболизм
• Кофеин улучшает чувствительность к инсулину,
• способствует аутофагии,
• снижает уровень IGF-1 (инсулиноподобного фактора роста) — он связан с онкогенезом.
⸻
Но важно учитывать…
Не всякий кофе полезен:
Фильтрованный — снижает кафестол, не повышает холестерин
Без сахара — исключить скачки инсулина
Натуральный — растворимый теряет часть пользы
Модерация — 2–4 чашки в день оптимально
Индивидуальные особенности:
• Генетика (CYP1A2) — медленные метаболизаторы хуже переносят кофе
• Беременность и гипертония — нужна консультация врача
⸻
Что говорит доказательная медицина?
Umbrella review (BMJ, 2017), анализ 200+ метаанализов:
«Умеренное потребление кофе связано с снижением риска 18 типов заболеваний, включая рак печени, простаты, эндометрия, колоректальный рак, диабет 2 типа и нейродегенеративные болезни».
⸻
А что насчёт риска рака?
Кофе не лечит рак, но:
• снижает риски его развития,
• действует через проверенные молекулярные пути: антиоксидантные, гормональные, иммунные, метаболические.
⸻
Резюме
Кофе — функциональный напиток с онкопротекторным потенциалом
Механизмы подтверждены in vitro, in vivo и в крупных когортах
Эффект зависит от дозы, способа приготовления и генетики
⸻
Как включить кофе в стратегию профилактики:
2–3 чашки фильтрованного кофе в день
Без сахара и трансжиров
В первой половине дня (для сна)
Баланс с водой и магнием
Не заменять кофе завтрак
«Однажды принимавший допинг — всегда принимавший».
Дисквиты должны быть пожизненными.
«Спортсменам запрещается участвовать в соревнованиях на срок до четырёх лет».
«Сохранение физиологических улучшений, полученных в результате применения допинга в прошлом, поднимает серьёзные этические вопросы в спорте и открывает путь к пожизненным санкциям».
Стойкие физиологические преимущества допинга? Этические последствия для спортивной этики
Аннотация
Влияние некоторых широко распространенных допинговых веществ, таких как анаболические андрогенные стероиды (ААС), на спортивные результаты хорошо задокументировано, особенно в краткосрочной перспективе. Использование этих веществ запрещено различными спортивными организациями, а спортсмены отстраняются от соревнований на срок до 4 лет. Однако существуют споры о том, могут ли остаточные физиологические эффекты некоторых допинговых практик сохраняться даже годы после прекращения их применения, предоставляя спортсменам несправедливое преимущество в течение длительного времени после отбытия санкций. В частности, в поддержку так называемой теории мышечной памяти, всё больше данных, полученных как на животных, так и на людях, свидетельствует о том, что применение ААС может оказывать долгосрочное воздействие на мышечный уровень, в частности, за счёт увеличения количества миоядер. Этот эффект может усиливать способность к ретренировке/ремоделированию мышц в течение длительного времени после прекращения применения ААС, что позволяет предположить наличие преимущества у спортсменов, принимающих допинг, даже спустя более 4 лет после прекращения применения допинга. Если данные подтвердятся, сохранение физиологических улучшений, полученных в результате применения допинга в прошлом, вызовет серьезные этические проблемы в сфере спорта и откроет путь к пожизненным санкциям.
=====
"Once a doper, always a doper."
Bans should be for life.
"Athletes are banned from competition for up to four years."
"The persistence of physiological enhancements resulting from past doping practices raises serious ethical questions in sports and opens the door to lifetime sanctions."
https://pubmed.ncbi....h.gov/39143907/
УЧЕНЫЕ ОБНАРУЖИЛИ КЛЮЧЕВОЙ БЕЛОК, ОТВЕЧАЮЩИЙ ЗА ОМОЛАЖИВАЮЩИЙ ЭФФЕКТ УПРАЖНЕНИЙ
Исследователи обнаружили и функционально охарактеризовали миокин CLCF1, уровень которого снижается с возрастом, но который высвобождается во время физических упражнений и помогает защитить опорно-двигательный аппарат от старения.
Все знают, что «физические упражнения полезны для здоровья», но не многие могут объяснить, почему это так.
Совместная исследовательская группа под руководством доктора Ён Рёль Янга из Исследовательской группы по конвергенции старения Корейского научно-исследовательского института биологических наук и биотехнологий (KRIBB) и профессора Нак-Сун Кима из Национального университета Чоннам идентифицировала ключевой белок CLCF1 (кардиотрофин-подобный цитокиновый фактор 1). Этот белок играет ключевую роль в обеспечении оздоровительного эффекта физической активности.
Исследователи обнаружили, что CLCF1 высвобождается мышцами во время физических упражнений, поддерживая прочность мышц и костей, а также помогая замедлить старение опорно-двигательного аппарата.
Чтобы изучить реакцию CLCF1 на физические нагрузки и старение, исследователи разделили участников на две группы: молодых и пожилых. Они измеряли уровень CLCF1 в крови после физической активности и обнаружили, что у молодых участников он значительно повышался после однократной тренировки. У пожилых людей же уровень CLCF1 повышался только после более чем 12 недель регулярных тренировок.
Исследователи также протестировали CLCF1 на пожилых мышах. При введении белка у мышей наблюдалась более высокая мышечная сила и более высокая плотность костей. Однако при блокировании активности CLCF1 физические нагрузки не оказывали положительного эффекта, что подтверждает важность этого белка для адаптивного ответа организма на физическую нагрузку.
Дальнейший анализ показал, что CLCF1 усиливает функцию митохондрий в мышечных клетках, ингибирует образование остеокластов, разрушающих костную ткань, и стимулирует дифференцировку остеобластов, формирующих костную ткань.
Это первое научное доказательство, указывающее на то, что изменения в секреции белка являются основной причиной снижения эффективности физических упражнений у пожилых людей.
Доктор Ён Рёль Ян из KRIBB отметил: «Это исследование предоставляет биологическую основу для объяснения причин снижения эффективности физических упражнений с возрастом и закладывает основу для разработки новых терапевтических стратегий для здорового старения. В частности, результаты предлагают новые направления в лечении возрастной саркопении и остеопороза».
https://pubmed.ncbi....h.gov/40399268/
Вызванный физическими упражнениями CLCF1 ослабляет возрастное снижение мышечной и костной массы у мышей
Джэ Сук Кан № 1 2 , Чон Ха Ким № 3 , Мин Джу Ким № 1 2 , Бёнкук Мин 4 , Сын Мин Ли 1 , Га Ён Го 1 , Джи Вон Ким 1 , Сонван Ким 1 2 , Джу Ён Квак 1 , Сон Ук Чон 5 , Ук Сон 6 7 , Хё Юль Мун 6 7 , Сун Гон Чунг 7 8 , Пак Дон Хо 9 10 , Пак Джи Хун 11 , Чуна Ким 1 12 , Кван Пё Ли 1 2 , Ын Су Квон 1 2 , Наксунг Ким 13 , Ки Сун Квон 14 15 , Ён Рёль Ян 16 17
PMID: 40399268 PMCID: PMC12095553 DOI: 10.1038/s41467-025-59959-w
Аннотация
Скелетные мышцы претерпевают множество изменений с возрастом. Однако влияние старения на способность мышц секретировать миокины и его последующее воздействие на организм остаются в значительной степени неизученными. В данной работе мы идентифицируем миокины, которые потенциально способны замедлить возрастное снижение мышечной и костной массы. В частности, уровень циркулирующего кардиотрофин-подобного цитокинового фактора 1 (CLCF1) снижается с возрастом, в то время как физические упражнения значительно повышают уровень CLCF1 как у людей, так и у грызунов. Восстановление уровня CLCF1 у пожилых самцов мышей улучшает их физическую работоспособность, толерантность к глюкозе и активность митохондрий. Более того, CLCF1 защищает от возрастной потери костной массы, ингибируя остеокластогенез и стимулируя дифференцировку остеобластов у пожилых самцов мышей. Эти улучшения частично отражают эффекты физических тренировок. Напротив, блокирование активности CLCF1 значительно снижает эти положительные эффекты, подтверждая решающую роль CLCF1 в опосредовании положительного влияния физических упражнений на здоровье мышц и костей у самцов мышей. В совокупности эти результаты свидетельствуют о том, что CLCF1 может способствовать регуляции возрастного ухудшения опорно-двигательного аппарата и требуют дальнейшего изучения его потенциальной роли в качестве модулятора здоровья опорно-двигательного аппарата в процессе старения.
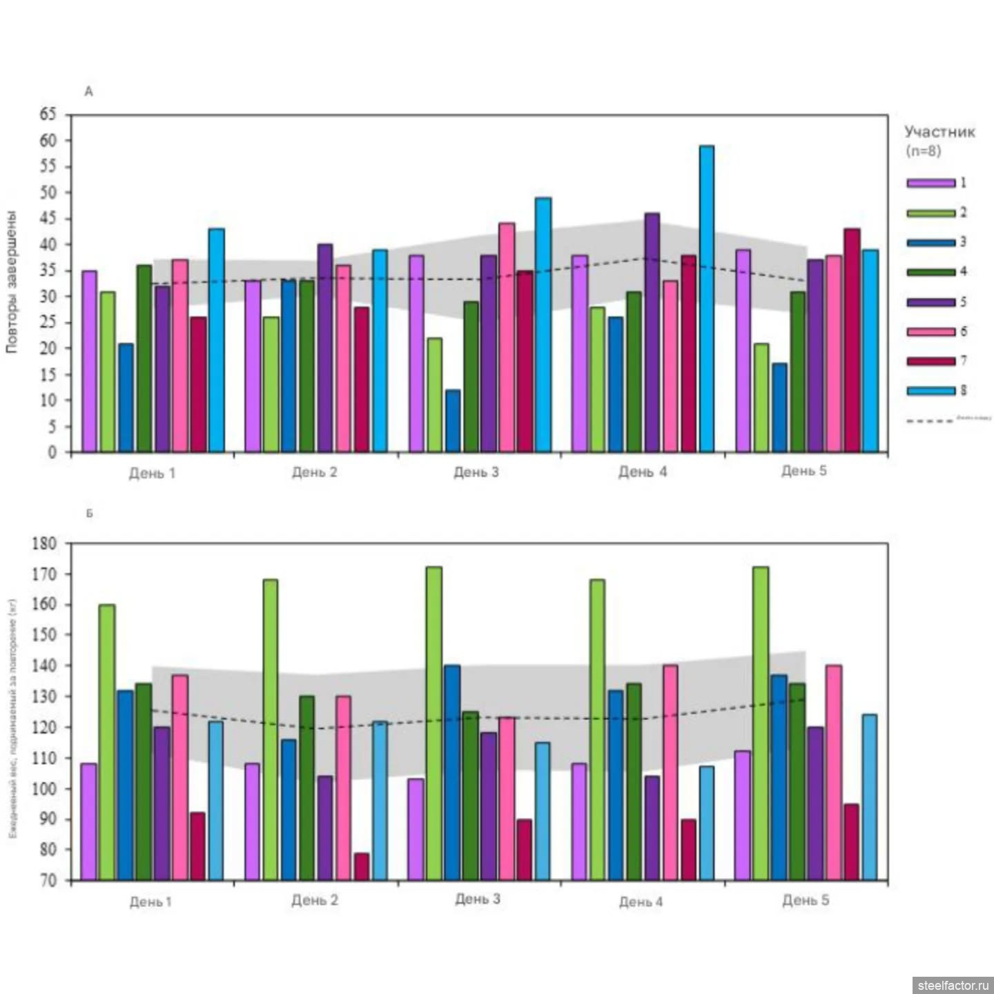
Effects of a 5-Day Back Squat Overreaching Protocol on Strength Performance, Perceived Recovery and Wellness Responses: A Pilot Trial. 2025
https://pubmed.ncbi....h.gov/40566477/
Сегодня разбираем крутое пилотное исследование о том, что бывает, если очень интенсивно поработать со штангой на короткой дистанции.
Что изучали?
Ученые провели эксперимент с 14 тренированными атлетами, чтобы проверить, как 5-дневный протокол перетренерованности (overreaching) в приседаниях повлияет на силу, восстановление и самочувствие. Грубо говоря, это была запланированная и очень жесткая перегрузка.
Суть метода:
5 дней подряд (!) ребята делали тяжелые приседы по 5 подходов до отказа. Начиналось все с 5х5 с 80% от 1ПМ, а к концу недели нагрузка выросла до 5х5 с 90%! Это жесть!
А что в результатах? Вот самое интересное с конкретными цифрами:
СИЛА ВЫРОСЛА!!!
Несмотря на дикую усталость, через 2 недели после такого стресса группа показала значительный прирост в 1ПМ на 5.2% (в среднем со 142.5 кг до 149.9 кг). Это доказывает принцип суперкомпенсации!
САМОЧУВСТВИЕ УПАЛО (но это временно)!
Показатели сразу после 5-дневного марафона:
Главные выводы:
Итог: Этот метод — острый инструмент для опытных атлетов, чтобы шокировать мышцы и выйти на новый уровень. Но пользоваться им нужно ОЧЕНЬ осторожно
Антигипоксическое действие янтарной кислоты заключается в том, что она улучшает тканевой дыхание, то есть, перенос кислорода из крови внутрь клеток и его утилизацию.
Антиоксидантное действие "янтарки" заключается в том, что она обезвреживает свободные радикалы, которые повреждают структуры клеток и приводят к их гибели. Кроме того, благодаря антиоксидантному эффекту янтарная кислота замедляет рост злокачественных опухолей.
Также янтарная кислота и ее соединения улучшают общую сопротивляемость организма к негативным воздействиям внешней среды, таким, как стрессы, вирусы, бактерии, сильное психоэмоциональное и физическое напряжение и т.д.
Янтарная кислота улучшает состояние и функционирование всего организма в целом.
В качестве самостоятельных средств препараты янтарной кислоты могут применяться вместо нитратов (Нитроглицерина, Нитросорбита и т.д.) для купирования приступов стенокардии, гипертонической болезни, тахикардии.
Первые улучшения появляются через 3 – 5 дней, а после полного 2 – 3 месячного курса у людей существенно уменьшаются проявления склеротических симптомов, благодаря чему головокружения и головные боли появляются гораздо реже и имеют более низкую интенсивность, а также улучшает сон, память, настроение и концентрацию внимания.
Янтарную кислоту рекомендуется принимать при облитерирующем атеросклерозе и хронической венозной недостаточности.
Применение препаратов Янтарной кислоты при хронических бронхитах и астме в периоды ремиссии в дозировке 0,5 – 1,5 г в сутки приводило к улучшению самочувствия и удлиняло межприступные промежутки.
Янтарную кислоту необходимо принимать в течение месяца при острых респираторных инфекциях и простудах.
Прием Янтарной кислоты по 1 таблетке по 2 раза в день в течение 2 – 3 недель в периоды сезонных эпидемий респираторных заболеваний предотвращает заражение человека, а даже если оно и происходит, то болезнь протекает гораздо легче, и выздоровление наступает быстрее.
что-то я чуть-чуть не понял с текста из самого исследования с переводом от Яндекса браузера
что-то я чуть-чуть не понял с текста из самого исследования с переводом от Яндекса браузера
Насколько всё-таки увеличилось
Результаты: Одноповторный максимум в приседаниях со штангой на спине увеличился на 4,8 % через 7 дней после тренировки и на 5,2 % через 14 дней. Одноповторный максимум в приседаниях со штангой на спине увеличился на 10,3 % через 7 дней после тренировки и на 11,4 % через 14 дней по сравнению с исходным уровнем
... Не читайте до обеда советских газет... - это в "Собачьем сердце" советовал профессор Преображенский
Евгений, не пользуйтесь Яндекс-переводчиком, он переводит очень не корректно. Вот для сравнения машинный перевод Гугла:
Сообщение изменено: Александр Черепанов (18 сентября 2025 - 07:41)
Женщина с высоким кортизолом не может любить, даже если старается. Это физиология
ПОДТЯГИВАНИЯ: Научный гид по самому безопасному хвату!
Подавляющее большинство исследований сходятся во мнении, что нейтральный хват (ладони смотрят друг на друга) является наиболее безопасным и щадящим для плечевого сустава!
Это связано с более естественным положением плечевой кости и лопатки, что минимизирует нагрузку на субакромиальное пространство (где часто происходит ущемление сухожилий и бурсы ). За ним, как правило, следует обратный хват (супинированный), а прямой хват (пронированный) создает наибольшую нагрузку на структуры плеча.
Вот некоторые из наиболее цитируемых и релевантных работ по этой теме с наглядными выводами:
1. Исследование активации мышц и риска импинджмента
Название: "The effect of hand position on electromyographic activity of the posterior shoulder musculature during a horizontal abduction exercise" (2007). (1)
2. Исследование на тренажере Смита (аналог вертикальной тяги)
Название: "An electromyographic analysis of commercial and common abdominal exercises: implications for rehabilitation and training" (2006). (2)
3. Систематический обзор маховых упражнений (касается биомеханики хвата)
Название:"The role of the scapula in shoulder dysfunction" (2003). (3)
4. Исследование, специфически посвященное подтягиваниям
Название:"Electromyographic activity of the shoulder musculature during the pull-up exercise" (2010). (4)
5. Новейшее исследование биомеханики (2020 год!)
Название:"Avoiding High Risk Rotator Cuff Loading: Muscle Force During Three Pull‐Up Techniques" (2020). (5)
Итог: Любите подтягивания? Отлично!
Но выбирайте хват с умом, особенно если есть проблемы с плечами. Начинайте с нейтрального — он ваш надёжный друг!
Затем пробуйте обратный. А прямой хват оставьте на потом, когда создадите мощный мышечный корсет для стабильности плеч.
Хотя короткие ежедневные занятия могут помочь сформировать привычку и повысить мотивацию, они несут риски: травмы от перегрузок, психическое выгорание и состояние перетренированности.
Ключ к прогрессу — не частота, а общий weekly объем (10-20 рабочих подходов на группу мышц в неделю). Этот объем можно успешно набрать за 3-5 тренировок в неделю. Для безопасных ежедневных тренировок нужна грамотная программа с варьированием интенсивности и акцентом на восстановление.
Тезисно плюсы и минусы
Плюсы ежедневных тренировок:
Мотивация и привычка:
Короткие (15-30 мин) ежедневные тренировки легче вписать в расписание и сделать привычкой.
Дополнительный расход калорий:
Повышается "эффект дожигания" (EPOC), что помогает в снижении веса.
Минусы и риски:
Риск травм:
Высокая нагрузка на суставы и сухожилия без полноценного восстановления может привести к хроническим болям и травмам.
Перетренированность:
Симптомы: усталость, снижение результатов, нарушения сна и настроения.
Психическое выгорание:
Высокий риск потери мотивации и удовольствия от процесса.
Отсутствие преимуществ в росте мышц:
Исследования не показывают пользы ежедневного тренинга compared to training 3-5 times a week при одинаковом weekly volume.
Ключевые рекомендации:
Для большинства оптимально: 3-5 силовых тренировок в неделю с 1-2 днями полного отдыха.
Главный приоритет — объем: Важен не факт ежедневной тренировки, а общее количество качественных подходов за неделю.
Если тренироваться каждый день, то:
- Использовать сплит (разделение групп мышц по дням).
- Варьировать интенсивность (чередовать тяжелые, средние и легкие дни).
- Избегать мышечного отказа в подходах для лучшего восстановления.
- Рассмотреть активное восстановление (легкое кардио, плавание) вместо силовых в дни отдыха.
Слушайте свой организм:
Индивидуальная переносимость нагрузок у всех разная. Eжедневный тренинг может быть полезен как кратковременная интенсивная фаза, но не как долгосрочная стратегия для большинства
Мат как часть тренировочного процесса
Немного шуточный пост. Но, как говорится, в каждой шутке есть доля шутки ...
Про мат и его влияние на нас.
Запрос касается узкой, но хорошо изученной области психофизиологии. Результаты исследований действительно показывают, что использование ненормативной лексики (мата) может вести к улучшению показателей в кратковременных физических упражнениях, связанных с силой и болевым порогом.
Основная гипотеза, подтверждаемая исследованиями, заключается в том, что мат активирует систему деклагибирования (растормаживания) в правом полушарии мозга и запускает реакцию «бей или беги». Это, в свою очередь, приводит к:
· Повышению частоты сердечных сокращений
· Снижению восприятия боли
· Увеличению выброса адреналина
· Временному повышению физической производительности
Вот ключевые исследования с тезисным изложением их результатов:
---
1. Исследование Кила (Keele) University (Великобритания)
Название и ссылка: Stephens,R., Atkins, J., & Kingston, A. (2009). Swearing as a response to pain (1)
· Метод: Участники погружали руку в ледяную воду (холодный прессорный тест) и повторяли либо ругательное слово, либо нейтральное.
· Результат: При использовании мата участники:
· Дольше терпели боль (порог боли повысился в среднем на 40 секунд по сравнению с нейтральной лексикой).
· Оценивали уровень боли как значительно меньший.
· Проявляли повышенную вегетативную реакцию (учащение сердцебиения), что указывает на активацию симпатической нервной системы (реакции «бей или беги»).
· Вывод: Ругань вызывает эмоциональный и физиологический ответ, который приводит к гипоалгезии — снижению болевой чувствительности.
---
2. Более прямое доказательство для силы
Stephens,R., & Umland, C. (2011). Swearing as a response to pain: Effect of daily swearing frequency. (2)
· Было также обнаружено, что эффект более выражен у людей, которые ругаются редко в повседневной жизни. Для тех, кто ругается часто, эффект был меньше, что suggests привыкание и снижение эмоциональной impact слов.
Не эффективно для частых матершинников vs Эффективно для тех, кто ругается редко)
Подборка исследований о пользе шоколада для физической производительности
1. Исследование: "Эпикатехин и повышение выносливости" / "Epicatechin and endurance performance" (2016) (1)
· Что изучали: Ученые проверяли, как темный шоколад с высоким содержанием флаванолов влияет на показатели велосипедистов.
· Результаты: Употребление темного шоколада позволило спортсменам использовать меньше кислорода при нагрузке и проехать на 1.5 км больше! Эффект связывают с улучшением кровотока.
Вывод: мощный буст для выносливости!
2. Исследование: "Горький шоколад vs спортивные батончики" / "Dark chocolate vs. sports bars" (2015) (2)
· Что изучали: Сравнивали влияние горького шоколада и обычных спортивных батончиков на метаболизм во время тренировки.
· Результаты: Шоколад заставил тело активнее сжигать жиры и экономить гликоген.
Вывод: отличный источник энергии для длительных нагрузок!
3. Исследование: "Флаванолы какао и оксигенация мышц" / "Cocoa flavanols and muscle oxygenation" (2020) (3)
· Что изучали: Как напиток с флаванолами какао влияет на снабжение мышц кислородом во время силовых упражнений.
· Результаты: Какао улучшило кровоток и доставку кислорода к мышцам. Это ускоряет восстановление между подходами и позволяет сделать больше повторений.
Вывод: больше кислорода = лучше работа и сила!
4. Исследование: "Шоколадное молоко для восстановления" / "Chocolate milk for recovery" (2009-2012) (4)
· Что изучали: Эффективность шоколадного молока как напитка для восстановления после тяжелых тренировок.
· Результаты: Шоколадное молоко превзошло многие спецнапитки! Оно идеально восстанавливает запасы энергии и мышцы. Спортсмены показывали лучшие результаты на следующий день.
Вывод: вкусное и эффективное восстановление!
5. Исследование: "Какао для когнитивной функции" / "Cocoa for cognitive function" (2012) (5)
· Результаты: Высокие дозы флаванолов снизили умственную усталость и повысили концентрацию.
Важное примечание:
Во всех этих исследованиях главный герой — флаванолы
. Их много только в горьком шоколаде (от 70% какао). Молочный и белый шоколад для этой цели не подходят — в них много сахара и мало пользы
. Выбирайте темный и наслаждайтесь
Это интересно
Признак эволюции, который можно обнаружить в вашем теле.
Если вы соедините большой палец и мизинец, вы заметите сухожилие посередине запястья. Это сухожилие длинной ладонной мышцы (musculus palmaris longus). Однако возможно, что у вас это сухожилие есть только с одной стороны, а у 10–15% людей его может вообще не быть.
Это связано с эволюцией, поскольку эта мышца не особенно важна для человека и её наличие не оказывает существенного влияния на функциональность кисти. Однако эта мышца была важна для приматов, живущих на деревьях (лемуров и обезьян). Для современных людей эта мышца считается рудиментом, как и способность двигать ушами, иметь зубы мудрости или копчиковые позвонки.
Вы проверили себя и написали — фальшивка или норма?
======
This is interesting
A sign of evolution that can be found in your body.
If you bring your thumb and little finger together, you will notice a tendon in the middle of your wrist. This is the tendon of the long palmar muscle (musculus palmaris longus). However, it is possible that you only have this tendon on one side, and 10-15% of people may not have it at all.
This is due to evolution, as this muscle is not particularly important for humans, and its presence does not significantly impact the functionality of the hand. However, this muscle was important for primates that live in trees (lemurs and monkeys). For modern humans, this muscle is considered a vestige, just like the ability to move our ears, have wisdom teeth, or have coccygeal vertebrae.
Have you checked yourself and written - fake or normal?
????????Взаимосвязь между биомеханикой бега и экономичностью бега: систематический обзор и метаанализ наблюдательных исследований
????♂️ Биомеханика бега и экономичность бега: как они взаимодействуют
???? Экономичность бега (ЭБ) — это количество кислорода или энергии, которое ваш организм использует для бега с постоянной скоростью.
???? Лучшая ЭБ = меньше энергии, затрачиваемой при том же темпе = более высокая производительность.
???? Наряду с VO₂max и лактатным порогом, ЭБ является ключевым фактором успеха в беге на длинные дистанции.
⚙️ Как биомеханика влияет на экономичность бега
⏱️ Частота шагов: немного более высокий каденс связан с более высокой экономичностью бега.
⬇️ Вертикальное движение: меньшее движение «вверх-вниз» снижает потери энергии.
???? Жёсткость ног: более жёсткий пружинный механизм ног улучшает возврат энергии.
???? Углы суставов и активация мышц: оказывают лишь небольшое или незначительное влияние, но всё же могут иметь значение для некоторых бегунов.
???? Практические способы повышения экономичности бега
???? Ключевой вывод
Экономичность бега можно тренировать. Внося небольшие биомеханические изменения, укрепляя мышцы ног и совершенствуя технику, бегуны могут экономить энергию и демонстрировать лучшие результаты, не повышая при этом такие показатели физической подготовки, как VO₂max.
-----------------
⚠️Дисклеймер: Распространение исследования или его части НЕ является рекламой. Пожалуйста, прочтите оригинальную статью и оцените её критически.
======
????????The Relationship Between Running Biomechanics and Running Economy: A Systematic Review and Meta-Analysis of Observational Studies
????♂️ Running Biomechanics & Running Economy: How They Connect
???? Running economy (RE) is the amount of oxygen or energy your body uses to run at a steady speed.
???? Better RE = less energy used for the same pace = improved performance.
???? Alongside VO₂max and lactate threshold, RE is a key factor for distance running success.
⚙️ How Biomechanics Affect Running Economy
⏱️ Step Frequency: A slightly higher cadence is linked with a better running economy.
⬇️ Vertical Movement: Lower “up-and-down” motion reduces wasted energy.
???? Leg Stiffness: A stiffer spring-like leg mechanism improves energy return.
???? Joint Angles & Muscle Activation: Show only small or non-significant effects, but may still matter for certain runners.
???? Practical Ways to Improve Running Economy
???? Key Takeaway
Running economy is trainable. By making small biomechanical adjustments, strengthening the legs, and refining technique, runners can save energy and perform better without necessarily increasing fitness markers like VO₂max.
-----------------
⚠️Disclaimer: Sharing a study or a part of it is NOT an endorsement. Please read the original article and evaluate critically.
https://link.springe...Sk3sDlviLnkz5hA
0 пользователей, 8 гостей, 0 скрытых